学校主页|

本科招生

当前位置: 首页 -> 招生信息 -> 本科招生 -> 正文

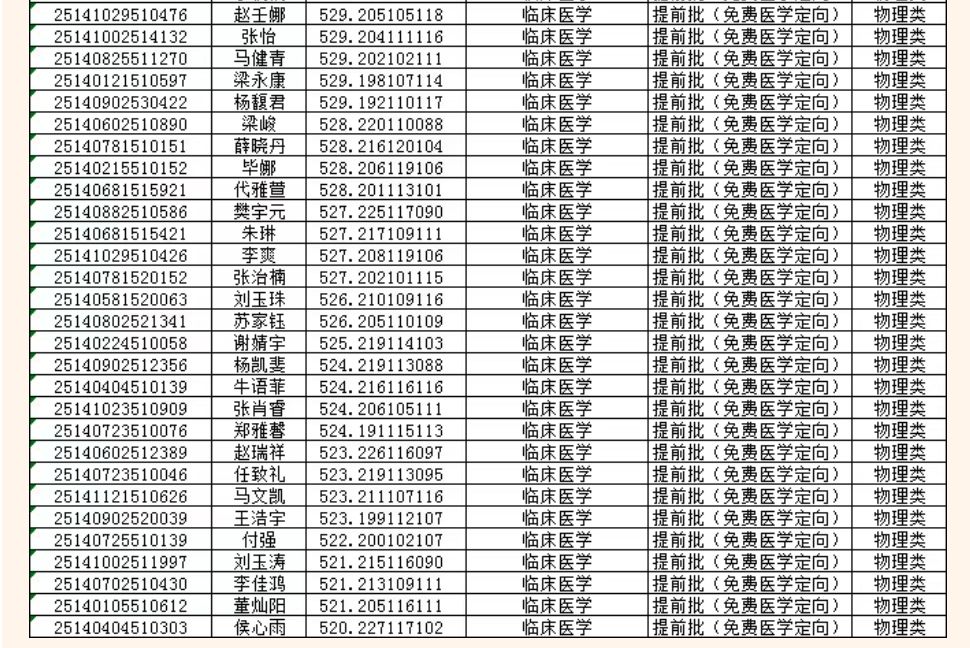
长治医学院2025年普通本科招生录取名单(山西省本科批)

发布日期:2025-08-04

名单详情见链接https://mp.weixin.qq.com/s/bCD6wLDDsBKURa8LDY_Sow