学校主页|

本科招生

当前位置: 首页 -> 招生信息 -> 本科招生 -> 正文

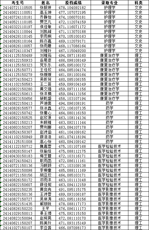
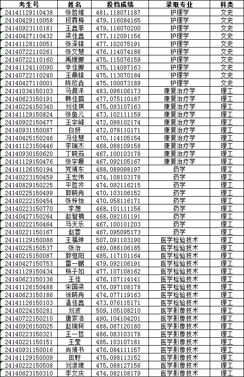
长治医学院2024年普通本科招生录取全名单

发布日期:2024-08-10


图片

安徽省



图片

福建省


图片

甘肃省

图片

广东省


图片

广西壮族自治区

图片

贵州省

图片

海南省

图片

河北省

图片

河南省

图片

黑龙江省

图片

湖北省

图片

湖南省

图片

吉林省

图片

江西省

图片

辽宁省

图片

内蒙古自治区

图片

宁夏回族自治区

图片

青海省

图片

山东省

图片

陕西省

图片

四川省

图片

天津市

图片

新疆维吾尔自治区

图片

云南省

图片

重庆市

图片

山西省(国家专项一批)

图片

山西省(国家专项二批)

图片

山西省(地方专项一批)

图片

山西省(地方专项二批)

图片

山西省(免费医学定向)

图片

山西省(艺术本科批)

图片

山西省(一批本科B批次)

图片

山西省(二批本科A批次)


图片

山西省(二批本科B批次)