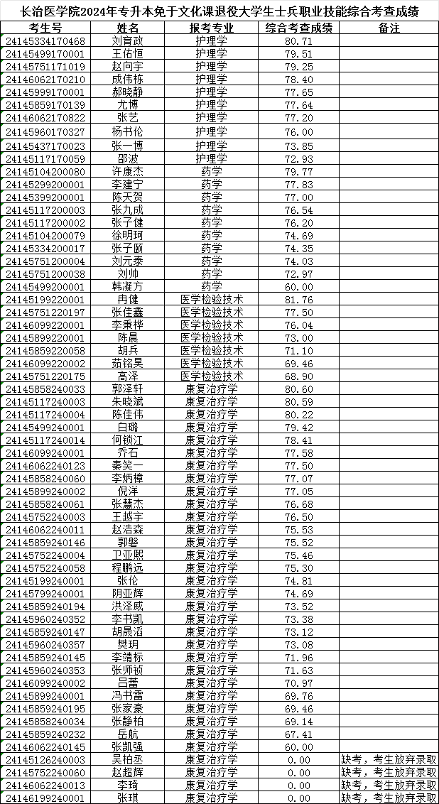
根据《山西省招生考试管理中心关于做好我省2024年专升本免试入学及退役大学生士兵免于文化课考试招生工作的通知》文件精神,我校于2024年3月8日组织了专升本退役大学生士兵职业适应性技能综合考查工作,严格按照《长治医学院2024年专升本免于文化课考试退役大学生士兵职业技能综合考查细则及评分标准》给所有参加考查的退役大学生士兵评出了综合考查成绩(成绩附后),并按照我校招生计划根据综合考查成绩从高分到低分确定了各专业拟录取名单,现将拟录取学生名单进行公示:


根据《长治医学院2024年专升本免试入学及退役大学生士兵免于文化课考试招生工作方案》,我校免于文化课考试退役大学生士兵职业技能综合考查由原专科学习期间成绩(主干课成绩)占比40%、职业适应性专业技能考查(面试)成绩占比30%、服兵役期间表现占比30%,三部分进行百分制加权,形成考生综合考查成绩,各考生综合考查成绩见上表。特别提醒参加我校职业技能综合考查未被录取的考生,请及时关注山西招生考试网征集志愿公告,并根据相关院校计划缺额及时填报征集志愿。